ISO 9001:2015 Certified
Live Customer Support
4.5/5 on Trustpilot
100% Quality Guarantee

Human Interleukin-12 ELISA Kit (A33018)

$740

Shipping Information

$40
Dispatched from St. Louis, MO.
Lead Time: 6-9 business days.
Name
Human Interleukin-12 ELISA Kit
Applications
Sandwich ELISA
Assay Type
Sandwich (quantitative)
Principle of Assay
This IL-12 enzyme linked immunosorbent assay (ELISA) applies a technique called a quantitative sandwich immunoassay. The microtiter plate provided in this kit has been pre-coated with a monoclonal antibody specific to IL-12. Standards or samples are then added to the appropriate microtiter plate wells with a biotin-conjugated monoclonal antibody preparation specific for IL-12 and incubated. IL-12 if present, will bind and become immobilized by the antibody pre-coated on the wells and then be “sandwiched” by biotin conjugate. The microtiter plate wells are thoroughly washed to remove unbound IL-12 and other components of the sample. In order to quantitatively determine the amount of IL-12 present in the sample, Avidin conjugated to Horseradish Peroxidase (HRP) is added to each microplate well and incubated. Avidin is a tetramer containing four identical subunits that each has a high affinity-binding site for biotin. The wells are thoroughly washed to remove all unbound HRP-conjugated Avidin and a TMB (3,3'5, 5' tetramethyl-benzidine) substrate solution is added to each well. The enzyme (HRP) and substrate are allowed to react over a short incubation period. Only those wells that contain IL-12, biotin-conjugated antibody and enzyme-conjugated Avidin will exhibit a change in colour. The enzyme-substrate reaction is terminated by the addition of a sulphuric acid solution and the colour change is measured spectrophotometrically at a wavelength of 450 nm ± 2 nm.

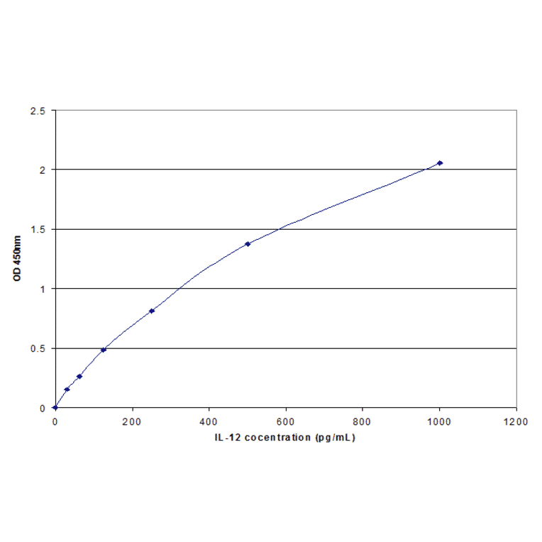
In order to measure the concentration of IL-12 in the samples this kit includes two calibration diluents (Calibrator Diluent I for serum/plasma testing and Calibrator Diluent II for cell culture supernatant testing.) According to the testing system, the provided standard is diluted (2-fold) with the appropriate Calibrator Diluent and assayed at the same time as the samples. This allows the operator to produce a standard curve of Optical Density (O.D) versus IL-12 concentration (pg/mL). The concentration of IL-12 in the samples is then determined by comparing the O.D. of the samples to the standard curve.
Platform
Microplate
Sample Type
Serum, plasma, cell culture supernatant, and other biological fluids.
Specificity
This sandwich ELISA recognises both natural and recombinant human IL-12.
Cross Reactivity
This assay exhibits no significant cross-reactivity with human IL-1 alpha, IL-beta, IL-2, IL-3, IL-4, IL-5 IL-6, IL-7, IL-8, IL-9, IL-10, IL-11, IL-12 p40, IL-13, IL-15, GRO alpha, GRO beta, IFN? or mouse IL-12 p70 and IL-12 p40.
Storage
Shipped and stored at 4°C.
Disclaimer
This product is for research use only. It is not intended for diagnostic or therapeutic use.
Publishing research using Human Interleukin-12 ELISA Kit (A33018)? Please let us know so that we can list the citation on this page.