ISO 9001:2015 Certified
Live Customer Support
4.5/5 on Trustpilot
100% Quality Guarantee

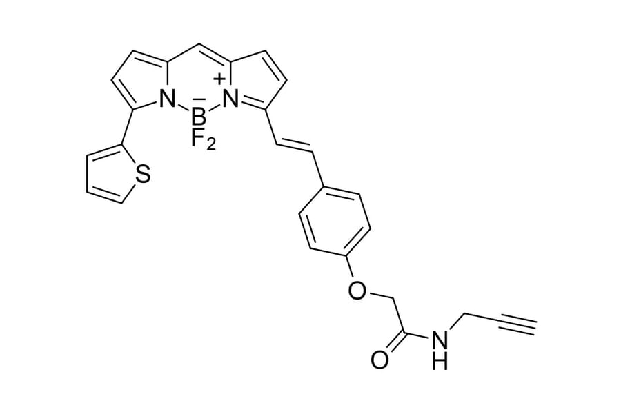
BDP 630/650 alkyne (A270077)

Shipping Information

$40
Dispatched from St. Louis, MO.
Lead Time: 5-8 business days.
Name
BDP 630/650 alkyne
Description
BDP 630/650 is a red emitting fluorophore matching the Cyanine 5 channel. The dye is useful for fluorescence polarization assays. It is also remarkably photostable. The terminal alkyne group can be conjugated with various azides by copper catalyzed Click chemistry.
Absorption Maxima
628 nm
Extinction Coefficient
97000 M-1cm-1
Emission Maxima
642 nm
Fluorescence Quantum Yield
0.91
CAS Number
2006345-38-4
CF260
0.029
CF280
0.035
Mass Spec M+ Shift after Conjugation
487.1
Purity
95% (by 1H NMR and HPLC-MS).
Molecular Formula
C26H20N3BF2O2S
Molecular Weight
487.33 kDa
Product Form
Dark colored solid.
Solubility
Good in DMF, DMSO, and alcohols.
Storage
Shipped at room temperature. Upon delivery, store in the dark at -20°C. Avoid prolonged exposure to light. Desiccate.
Disclaimer
This product is for research use only. It is not intended for diagnostic or therapeutic use.
Publishing research using BDP 630/650 alkyne (A270077)? Please let us know so that we can list the citation on this page.