ISO 9001:2015 Certified
Live Customer Support
4.5/5 on Trustpilot
100% Quality Guarantee

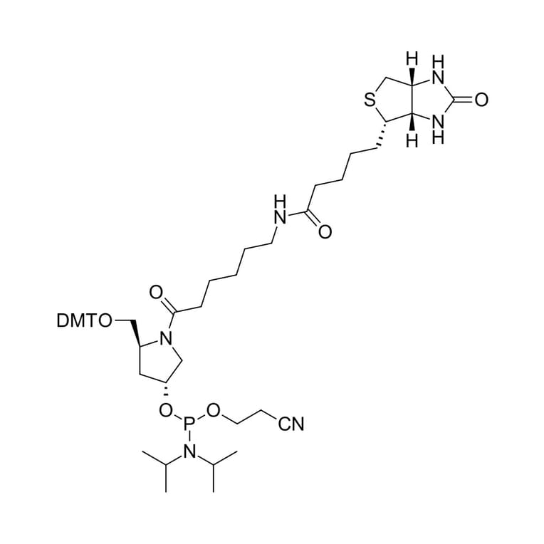
Biotin phosphoramidite (hydroxyprolinol) (A270125)

Shipping Information

$40
Dispatched from St. Louis, MO.
Lead Time: 5-8 business days.
Name
Biotin phosphoramidite (hydroxyprolinol)
Description
Non-nucleosidic modifier reagent for the synthesis of biotinylated oligos based on a hydroxyprolinol core. This phosphoramidite contains a dimethoxytrityl protective group for the purification of the resulting oligos on C18 cartridges, and reverse phase HPLC. This modifier reagent can be used to introduce biotin onto 5'-position, 3'-position (using universal CPG), and internal oligo sites. This amidite does not require special condensation and deprotection conditions.
Purity
95% (by 1H and 31P NMR, HPLC-MS, and functional testing in oligo synthesis).
Molecular Formula
C51H71N6O8PS
Molecular Weight
959.18 kDa
Product Form
White powder.
Solubility
Good in MeCN, DCM, and THF.
Storage
Shipped at room temperature. Upon delivery, store in the dark at -20°C. Avoid prolonged exposure to light. Desiccate.
Disclaimer
This product is for research use only. It is not intended for diagnostic or therapeutic use.
Publishing research using Biotin phosphoramidite (hydroxyprolinol) (A270125)? Please let us know so that we can list the citation on this page.