ISO 9001:2015 Certified
Live Customer Support
4.5/5 on Trustpilot
100% Quality Guarantee

DiI (DiIC18(3)) (A319639)

$140

Shipping Information

$40
Dispatched from St. Louis, MO.
Lead Time: 7-10 business days.
Name
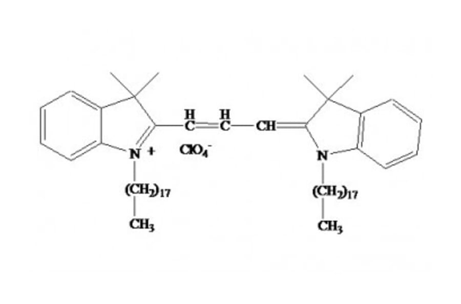
DiI (DiIC18(3))
Principle of Assay
DiI is a widely used carbocyanine membrane dye that labels cell membranes by inserting its two long (C18 carbon) hydrocarbon chains into the lipid bilayer. Particularly, it has been extensively used for the anterograde and retrograde labeling of neurons. The intense fluorescence and high photostability of the dye make it possible to visualize the fine structures (axons and dendrites) of the neurons. Due to its low toxicity and the tendency to give highly stable cell labeling, the dye has also been generally used for long term cell tracing of cells both in cultures and in living embryos or animals.
Absorption Maxima
549 nm (MeOH)
Emission Maxima
565 nm (MeOH)
CAS Number
41085-99-8
Molecular Formula
C59H97ClN2O4
Molecular Weight
933.88
Product Form
Deep red solid.
Solubility
Soluble in DMSO, DMF, or Ethanol.
Storage
Shipped at 4°C. Store at -20°C in the dark. Do not use past expiration date!
Disclaimer
This product is for research use only. It is not intended for diagnostic or therapeutic use.
Publishing research using DiI (DiIC18(3)) (A319639)? Please let us know so that we can list the citation on this page.