ISO 9001:2015 Certified
Live Customer Support
4.5/5 on Trustpilot
100% Quality Guarantee

DiO (DiOC18(3)) (A319640)

$160

Shipping Information

$40
Dispatched from St. Louis, MO.
Lead Time: 7-10 business days.
Name
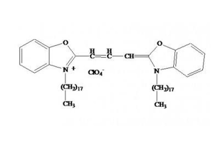
DiO (DiOC18(3))
Principle of Assay
The green fluorescent, lipophilic carbocyanine DiOC18(3) is widely used as a lipophilic tracer. It is weakly fluorescent in water but highly fluorescent and quite photostable when incorporated into membranes. It has an extremely high extinction coefficient and short excited-state lifetimes (~1 nanosecond) in lipid environments. Once applied to cells, the dye diffuses laterally within the plasma membrane.
Absorption Maxima
484 nm (MeOH)
Emission Maxima
501 nm (MeOH)
CAS Number
34215-57-1
Molecular Formula
C53H85ClN2O6
Molecular Weight
882
Product Form
Yellow solid.
Solubility
Soluble in Ethanol, anhydrous DMSO, and anhydrous DMF. Solubility of approximately 10 mg/ml in anhydrous DMSO. When it is difficult to dissolve, it can be properly heated or ultrasonically treated.
Storage
Shipped at 4°C. Store at 4°C in the dark. Do not use past expiration date!
Disclaimer
This product is for research use only. It is not intended for diagnostic or therapeutic use.
Publishing research using DiO (DiOC18(3)) (A319640)? Please let us know so that we can list the citation on this page.