ISO 9001:2015 Certified
Live Customer Support
4.5/5 on Trustpilot
100% Quality Guarantee

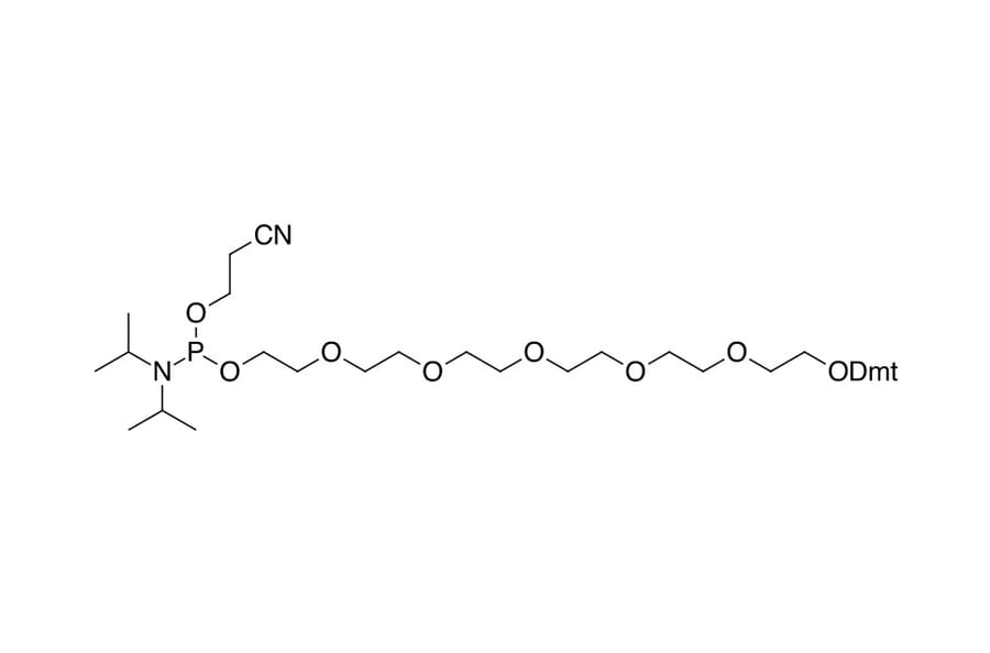
Hexaethylene glycol phosphoramidite (A270222)

Shipping Information

$40
Dispatched from St. Louis, MO.
Lead Time: 5-8 business days.
Name
Hexaethylene glycol phosphoramidite
Description
Spacer phosphoramidite 18 (hexaethylene glycol phosphoramidite) is an amidite reagent for oligonucleotide synthesis. It provides a long hydrophilic linker that can be used for the synthesis of Scorpion-type qPCR probes, for spacing biotin from oligo strand, and for other applications requiring spatial separation of modifier and oligo.
CAS Number
125607-09-2
Purity
> 95% (by 1H and 31P NMR, HPLC-MS, and functional testing in oligo sythesis).
Molecular Formula
C42H61N2O10P
Molecular Weight
784.92 Da
Product Form
Colorless / yellowish oil.
Solubility
Good in most organic solvents.
Storage
Shipped at room temperature. Upon delivery, store in the dark at -20°C. Avoid prolonged exposure to light. Desiccate.
Disclaimer
This product is for research use only. It is not intended for diagnostic or therapeutic use.
Publishing research using Hexaethylene glycol phosphoramidite (A270222)? Please let us know so that we can list the citation on this page.