ISO 9001:2015 Certified
Live Customer Support
4.5/5 on Trustpilot
100% Quality Guarantee

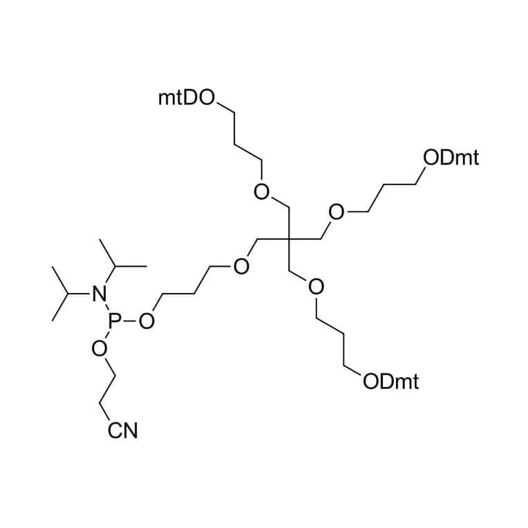
Long trebler phosphoramidite (A270234)

Shipping Information

$40
Dispatched from St. Louis, MO.
Lead Time: 5-8 business days.
Name
Long trebler phosphoramidite
Description
Long trebler phosphoramidite is a branching reagent for oligonucleotide synthesis allowing the synthesis of branched DNA structures using a standard DNA synthesizer. After the condensation of the trebler, three DNA branches begin to grow simultaneously with each step of the synthesis. Deblock of this construct gives rise to DNA containing a branching point. One arm (stem) is attached to the branch point with its 5'-end, and other arms (branches) are attached with their 3'-ends. Reverse amidites can be used to prepare constructs with different branch orientations. Repetitive condensations of trebler results in formation of DNA dendrimers. Trebler amidite can be used to attach several modifier amidites to the 5'-end of an oligonucleotide - for example, three biotin residues can be attached at once. This amidite does not require any special handling. Recommended coupling time is 5 minutes. No changes to deblock conditions are required.
CAS Number
1516489-83-0
Purity
95% (by 1H and 31P NMR, and HPLC-MS).
Molecular Formula
C89H107N2O15P
Molecular Weight
1475.78 kDa
Product Form
Viscous yellowish oil.
Solubility
Soluble in acetonitrile and dichloromethane.
Storage
Shipped at room temperature. Upon delivery, store at -20°C. Desiccate.
Disclaimer
This product is for research use only. It is not intended for diagnostic or therapeutic use.
Publishing research using Long trebler phosphoramidite (A270234)? Please let us know so that we can list the citation on this page.