Primary Antibodies
Secondary Antibodies
Proteins & Peptides
ELISA Kits
About Us
Contact Us
Sign In/Register
0
ISO 9001:2015 Certified
Live Customer Support
4.5/5 on Trustpilot
100% Quality Guarantee
Home
Biochemicals
BAPTA-AM - Cell-Permeable Calcium Chelator (A57495)
BAPTA-AM - Cell-Permeable Calcium Chelator (A57495)
Overview
Specifications
Images
Enlarge Image
$410
Product Datasheet
100% Guarantee
Price Match Guarantee
Product Size:
25mg
Quantity:
1
2
3
4
5
6
7
8
9
10
Add To Cart
Request a Quotation
Custom or Bulk Request
Shipping Information
Freight/Packing Charges:
$40
Dispatched from St. Louis, MO.
Lead Time: 10-14 business days.
Specifications
Name
BAPTA-AM - Cell-Permeable Calcium Chelator
Description
A cell-permeable derivative of BAPTA; intracellular esterases release active BAPTA for calcium buffering.
Applications
Fluorescence Microscopy, Confocal Microscopy, High Content Imaging, Functional Assays, Intracellular Fluorescent Probes
Molecular Formula
C20H12N3NaO7S
Molecular Weight
461.38
Disclaimer
This product is for research use only. It is not intended for diagnostic or therapeutic use.
Scientific Validation Data
Validation Data
(1)
Enlarge Image
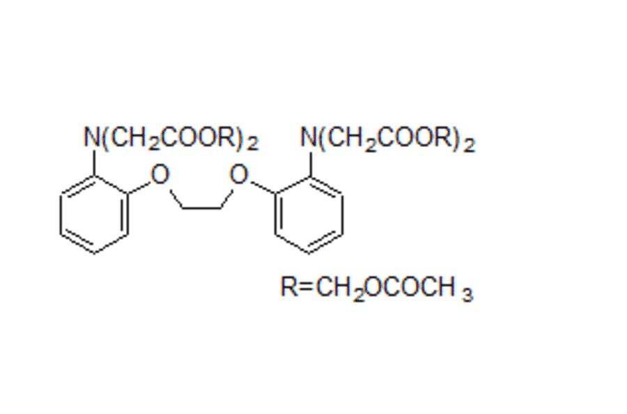
BAPTA-AM - Cell-Permeable Calcium Chelator (A57495)
The structural formula of of BAPTA-AM.
Publishing research using BAPTA-AM - Cell-Permeable Calcium Chelator (A57495)? Please
let us know
so that we can list the citation on this page.
Top