Primary Antibodies
Secondary Antibodies
Proteins & Peptides
ELISA Kits
About Us
Contact Us
Sign In/Register
0
ISO 9001:2015 Certified
Live Customer Support
4.5/5 on Trustpilot
100% Quality Guarantee
Home
Biochemicals
Biotin Sulfo-OSu - NHS Ester (A57478)
Biotin Sulfo-OSu - NHS Ester (A57478)
Overview
Specifications
Images
Enlarge Image
$305
Product Datasheet
100% Guarantee
Price Match Guarantee
Product Size:
10mg
Quantity:
1
2
3
4
5
6
7
8
9
10
Add To Cart
Request a Quotation
Custom or Bulk Request
Shipping Information
Freight/Packing Charges:
$40
Dispatched from St. Louis, MO.
Lead Time: 10-14 business days.
Specifications
Name
Biotin Sulfo-OSu - NHS Ester
Description
A water-soluble NHS-ester derivative of biotin used for covalent labeling of primary amines in aqueous systems.
Applications
ELISA, EIA, Immunoassay, WB, IHC, IF, IP, Affinity Purification, Biotin labeling
Molecular Formula
C14H18N3NaO8S2
Molecular Weight
443.43
Disclaimer
This product is for research use only. It is not intended for diagnostic or therapeutic use.
Scientific Validation Data
Validation Data
(1)
Enlarge Image
Biotin Sulfo-OSu - NHS Ester (A57478)
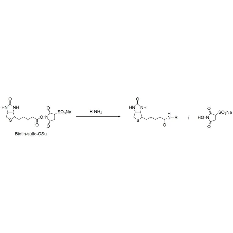
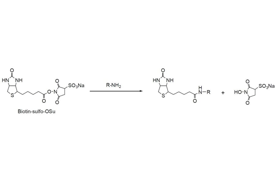
The reaction of Biotin-sulfo-OSu with primary amines (R–NH2).
Publishing research using Biotin Sulfo-OSu - NHS Ester (A57478)? Please
let us know
so that we can list the citation on this page.
Top