Primary Antibodies
Secondary Antibodies
Proteins & Peptides
ELISA Kits
About Us
Contact Us
Sign In/Register
0
ISO 9001:2015 Certified
Live Customer Support
4.5/5 on Trustpilot
100% Quality Guarantee
Home
Biochemicals
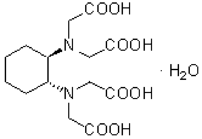
CyDTA - Metal Chelator (A57458)
CyDTA - Metal Chelator (A57458)
Overview
Specifications
Images
Enlarge Image
$415
Product Datasheet
100% Guarantee
Price Match Guarantee
Product Size:
25g
Quantity:
1
2
3
4
5
6
7
8
9
10
Add To Cart
Request a Quotation
Custom or Bulk Request
Shipping Information
Freight/Packing Charges:
$40
Dispatched from St. Louis, MO.
Lead Time: 10-14 business days.
Specifications
Name
CyDTA - Metal Chelator
Description
A chelating agent similar to EDTA with high affinity for divalent metal ions.
Applications
Functional Assays, Functional Studies, Metal Chelates
Molecular Formula
C14H22N2O8?H2O
Molecular Weight
364.35
Disclaimer
This product is for research use only. It is not intended for diagnostic or therapeutic use.
Scientific Validation Data
Validation Data
(1)
Enlarge Image
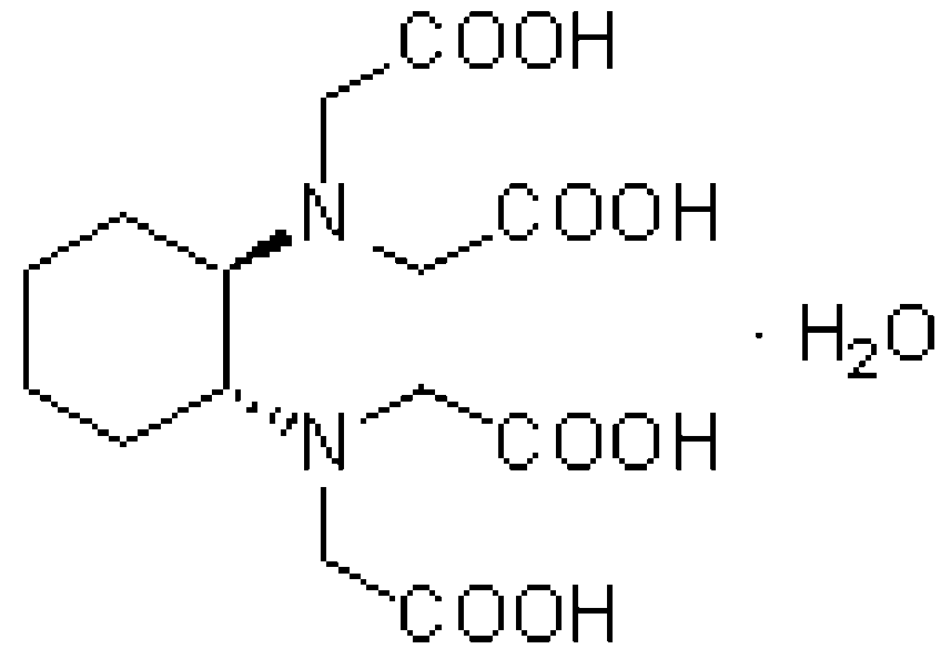
CyDTA - Metal Chelator (A57458)
The structural formula of of Cyanoline Blue.
Publishing research using CyDTA - Metal Chelator (A57458)? Please
let us know
so that we can list the citation on this page.
Top