Primary Antibodies
Secondary Antibodies
Proteins & Peptides
ELISA Kits
About Us
Contact Us
Sign In/Register
0
ISO 9001:2015 Certified
Live Customer Support
4.5/5 on Trustpilot
100% Quality Guarantee
Home
Biochemicals
HDAOS - Trinder Reagent (A57253)
HDAOS - Trinder Reagent (A57253)
Overview
Specifications
Images
Enlarge Image
$375
Product Datasheet
100% Guarantee
Price Match Guarantee
Product Size:
1g
Quantity:
1
2
3
4
5
6
7
8
9
10
Add To Cart
Request a Quotation
Custom or Bulk Request
Shipping Information
Freight/Packing Charges:
$40
Dispatched from St. Louis, MO.
Lead Time: 10-14 business days.
Specifications
Name
HDAOS - Trinder Reagent
Description
A highly water-soluble chromogen for oxidative coupling reactions.
Applications
Functional Assays, Oxidative Chromogenic Dyes
Molecular Formula
C11H16NNaO6S
Molecular Weight
313.3
Disclaimer
This product is for research use only. It is not intended for diagnostic or therapeutic use.
Scientific Validation Data
Validation Data
(1)
Enlarge Image
HDAOS - Trinder Reagent (A57253)
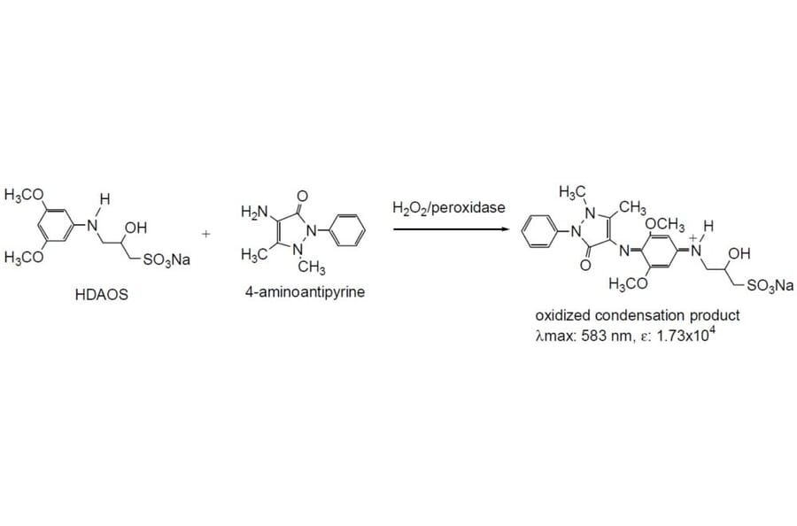
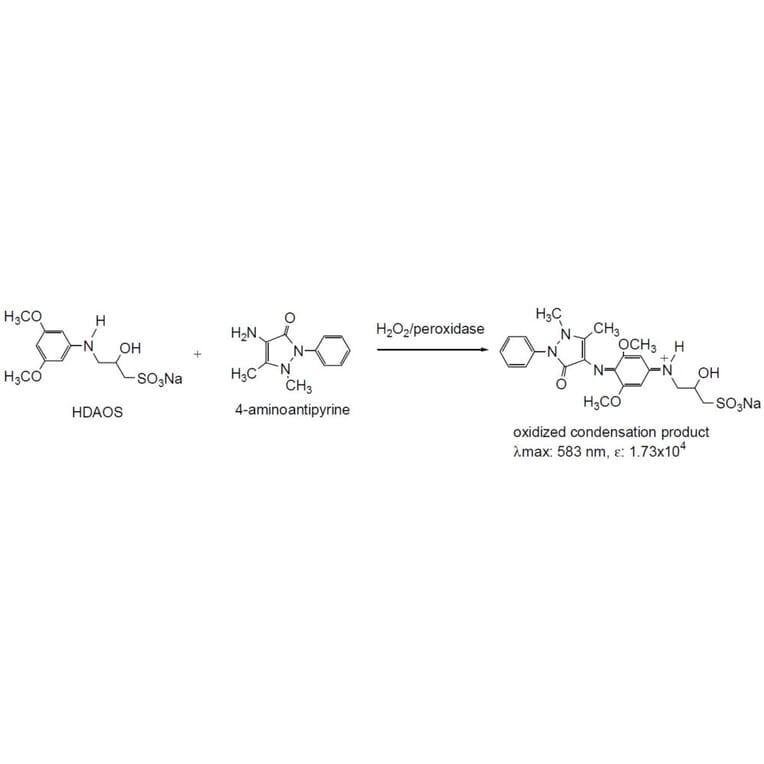
The principle of reaction forHDAOS in peroxidase-based assays.
Publishing research using HDAOS - Trinder Reagent (A57253)? Please
let us know
so that we can list the citation on this page.
Top