ISO 9001:2015 Certified
Live Customer Support
4.5/5 on Trustpilot
100% Quality Guarantee

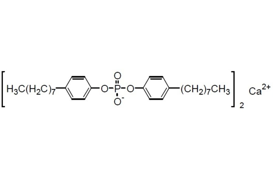
HDOPP-Ca - Calcium Complex (A57353)

This product is discontinued

HDOPP-Ca - Calcium Complex (A57353) has been discontinued and is no longer available.

View all available products.

Name
HDOPP-Ca - Calcium Complex
Description
A calcium-bound chelator used in metal-binding studies.
Molecular Formula
C56H84CaO8P2
Molecular Weight
987.29
Disclaimer
This product is for research use only. It is not intended for diagnostic or therapeutic use.