Primary Antibodies
Secondary Antibodies
Proteins & Peptides
ELISA Kits
About Us
Contact Us
Sign In/Register
0
ISO 9001:2015 Certified
Live Customer Support
4.5/5 on Trustpilot
100% Quality Guarantee
Home
Biochemicals
NOC-7 - Nitric Oxide Donor (A57272)
NOC-7 - Nitric Oxide Donor (A57272)
Overview
Specifications
Images
Enlarge Image
Enlarge Image
$410
Product Datasheet
100% Guarantee
Price Match Guarantee
Product Size:
10mg
50mg
Quantity:
1
2
3
4
5
6
7
8
9
10
Add To Cart
Request a Quotation
Custom or Bulk Request
Shipping Information
Freight/Packing Charges:
$40
Dispatched from St. Louis, MO.
Lead Time: 10-14 business days.
Specifications
Name
NOC-7 - Nitric Oxide Donor
Description
Rapid nitric oxide donor.
Molecular Formula
C5H14N4O2
Molecular Weight
162.19
Disclaimer
This product is for research use only. It is not intended for diagnostic or therapeutic use.
Scientific Validation Data
Validation Data
(2)
Enlarge Image
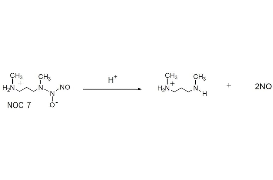
NOC-7 - Nitric Oxide Donor (A57272)
Acid-dependent nitric oxide (NO) release mechanism of NOC 7.
Enlarge Image
NOC-7 - Nitric Oxide Donor (A57272)
pH-dependent half-lives of NOC series nitric oxide donors.
Publishing research using NOC-7 - Nitric Oxide Donor (A57272)? Please
let us know
so that we can list the citation on this page.
Top