Primary Antibodies
Secondary Antibodies
Proteins & Peptides
ELISA Kits
About Us
Contact Us
Sign In/Register
0
ISO 9001:2015 Certified
Live Customer Support
4.5/5 on Trustpilot
100% Quality Guarantee
Home
Biochemicals
SAT-3 - Sulfane Sulfur Detection Probe (A57225)
SAT-3 - Sulfane Sulfur Detection Probe (A57225)
Overview
Specifications
Images
Enlarge Image
$510
Product Datasheet
100% Guarantee
Price Match Guarantee
Product Size:
1g
Quantity:
1
2
3
4
5
6
7
8
9
10
Add To Cart
Request a Quotation
Custom or Bulk Request
Shipping Information
Freight/Packing Charges:
$40
Dispatched from St. Louis, MO.
Lead Time: 10-14 business days.
Specifications
Name
SAT-3 - Sulfane Sulfur Detection Probe
Description
A fluorescent probe designed for selective detection of sulfane sulfur species in biological samples. Fluorescence increases upon reaction with reactive sulfur species.
Applications
Fluorescence Microscopy, Confocal Microscopy, High Content Imaging, Flow Cytometry, Intracellular Flow Cytometry, Functional Assays, Oxidative Chromogenic Dyes
Molecular Formula
C20H26N2Na2O8S2·4H2O
Molecular Weight
604.62
Disclaimer
This product is for research use only. It is not intended for diagnostic or therapeutic use.
Scientific Validation Data
Validation Data
(1)
Enlarge Image
SAT-3 - Sulfane Sulfur Detection Probe (A57225)
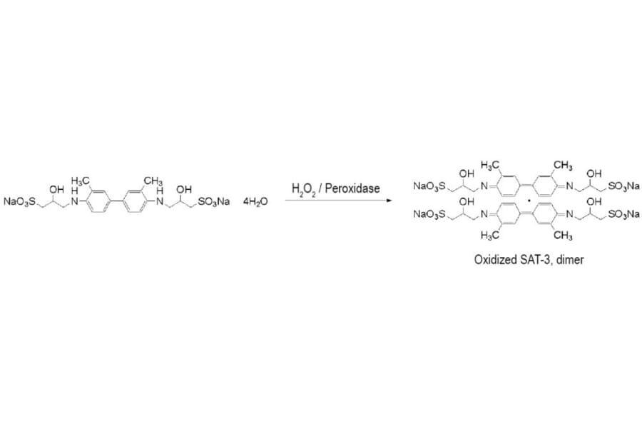
Oxidation reaction of SAT-3 in the presence of hydrogen peroxide and peroxidase.
Publishing research using SAT-3 - Sulfane Sulfur Detection Probe (A57225)? Please
let us know
so that we can list the citation on this page.
Top