Primary Antibodies
Secondary Antibodies
Proteins & Peptides
ELISA Kits
About Us
Contact Us
Sign In/Register
0
ISO 9001:2015 Certified
Live Customer Support
4.5/5 on Trustpilot
100% Quality Guarantee
Home
Biochemicals
Sodium Diethyldithiocarbamate - Metal Chelator (A57414)
Sodium Diethyldithiocarbamate - Metal Chelator (A57414)
Overview
Specifications
Images
Enlarge Image
$400
Product Datasheet
100% Guarantee
Price Match Guarantee
Product Size:
100mg
Quantity:
1
2
3
4
5
6
7
8
9
10
Add To Cart
Request a Quotation
Custom or Bulk Request
Shipping Information
Freight/Packing Charges:
$40
Dispatched from St. Louis, MO.
Lead Time: 10-14 business days.
Specifications
Name
Sodium Diethyldithiocarbamate - Metal Chelator
Description
A metal-chelating agent and antioxidant used in copper chelation and radical scavenging research.
Applications
Functional Studies, Functional Assays, NO Detection
Molecular Formula
C4H5NNa2O2S2?2H2O
Molecular Weight
245.23
Disclaimer
This product is for research use only. It is not intended for diagnostic or therapeutic use.
Scientific Validation Data
Validation Data
(1)
Enlarge Image
Sodium Diethyldithiocarbamate - Metal Chelator (A57414)
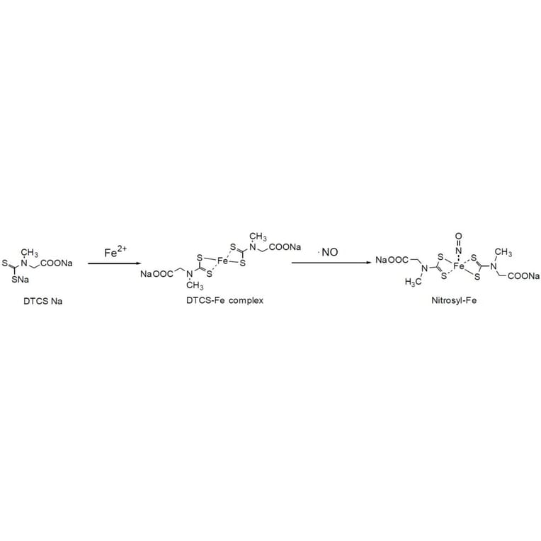
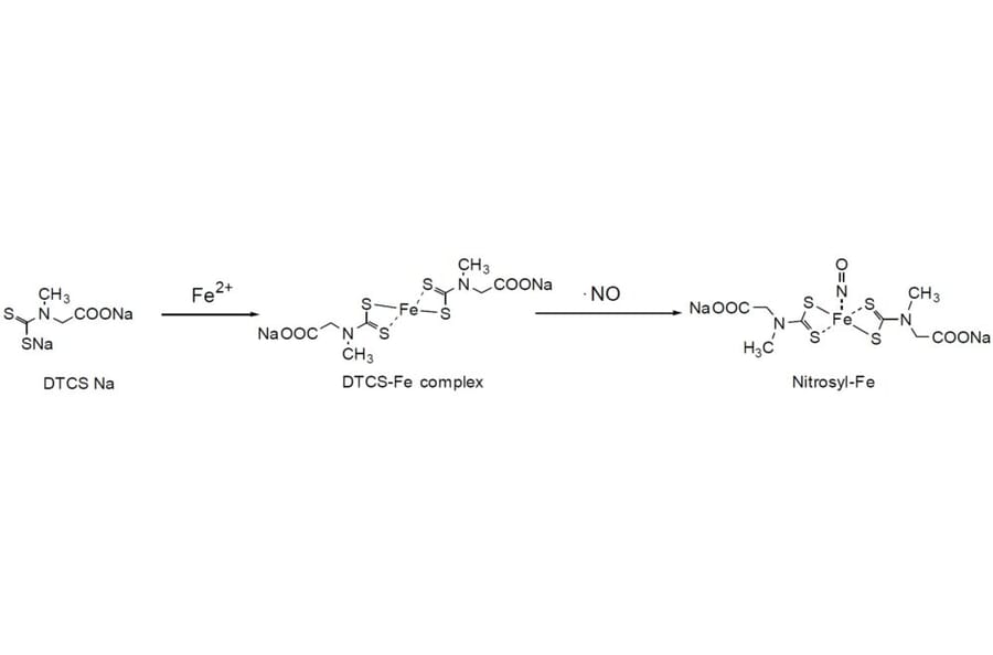
Formation of a nitric oxide–iron complex using DTCS Na.
Publishing research using Sodium Diethyldithiocarbamate - Metal Chelator (A57414)? Please
let us know
so that we can list the citation on this page.
Top