Primary Antibodies
Secondary Antibodies
Proteins & Peptides
ELISA Kits
About Us
Contact Us
Sign In/Register
0
ISO 9001:2015 Certified
Live Customer Support
4.5/5 on Trustpilot
100% Quality Guarantee
Home
Biochemicals
TOOS - Trinder Reagent (A57251)
TOOS - Trinder Reagent (A57251)
Overview
Specifications
Images
Enlarge Image
$375
Product Datasheet
100% Guarantee
Price Match Guarantee
Product Size:
1g
Quantity:
1
2
3
4
5
6
7
8
9
10
Add To Cart
Request a Quotation
Custom or Bulk Request
Shipping Information
Freight/Packing Charges:
$40
Dispatched from St. Louis, MO.
Lead Time: 10-14 business days.
Specifications
Name
TOOS - Trinder Reagent
Description
A Trinder reagent used in peroxidase-based colorimetric assays.
Applications
Functional Assays, Oxidative Chromogenic Dyes
Molecular Formula
C12H18NNaO4S?2H2O
Molecular Weight
331.36
Disclaimer
This product is for research use only. It is not intended for diagnostic or therapeutic use.
Scientific Validation Data
Validation Data
(1)
Enlarge Image
TOOS - Trinder Reagent (A57251)
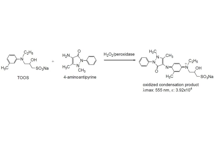
The principle of reaction forTOOS.
Publishing research using TOOS - Trinder Reagent (A57251)? Please
let us know
so that we can list the citation on this page.
Top