ISO 9001:2015 Certified
Live Customer Support
4.5/5 on Trustpilot
100% Quality Guarantee

c-Jun (phospho Ser63) ELISA Kit (A104154)

$735

Shipping Information

$40
Dispatched from St. Louis, MO.
Lead Time: 6-8 business days.
Name
c-Jun (phospho Ser63) ELISA Kit
Description
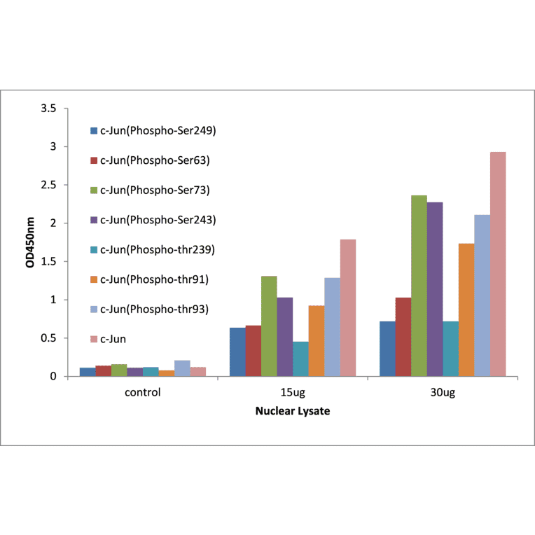
c-Jun (phospho Ser63) ELISA Kit is a Indirect Enzyme-Linked Immunosorbent Assay designed for the indirect in vitro quantitative determination of c-Jun levels in nuclear lysates.
Assay Type
Indirect
Principle of Assay
This c-Jun (phospho Ser63) ELISA Kit applies the qualitative technique of an indirect ELISA. Streptavidin is bound to the immunoassay plate and specific biotinylated double stranded (dsDNA) oligonucleotides are then added to bind to the streptavidin via a high affinity biotin-streptavidin interaction. After subsequent blocking of extraneous binding sites in each well, the sample containing the target of interest can be added. Primary antibody is added to bind activated transcription factors bound to the dsDNA oligonucleotide, which has been immobilized via the plate-coated streptavidin. A HRP-conjugated secondary antibody specific for rabbit IgGs is added, which allows for specific binding to the Primary Antibody, and consequently colorimetric detection upon addition of the TMB substrate. For color development, TMB (3, 3’, 5, 5’-Tetramethylbenzidine) is added to each well. After addition of the substrate, a peroxidase catalyzed reaction will produce a blue TMB Diimine product that is proportional to the target concentration in the sample. Color development is quenched by addition of Stop Solution, or 2 N Sulfuric Acid, which turns the solution yellow. The absorbance can then be read by a spectrophotometer at 450 nm and subsequently allowing for determination of the target concentration in the sample.
Platform
Pre-coated Microplate (12 x 8 well strips)
Detection Type
Colorimetric
Sample Type
Nuclear lysates.
Reactivity
Human, Mouse, Rat
Cross Reactivity
No reported cross-reactivity.
Storage
Store at + 4°C. Stable for 3-6 months.
Synonyms
Activator protein 1, AP1, JUN, p39, Proto-oncogene c-Jun, Transcription factor AP-1 subunit Jun, Transcription factor Jun, V-jun avian sarcoma virus 17 oncogene homolog
Product Note
Information online is representative. Always refer to the Product Manual inside the kit.
Disclaimer
This product is for research use only. It is not intended for diagnostic or therapeutic use.
Publishing research using c-Jun (phospho Ser63) ELISA Kit (A104154)? Please let us know so that we can list the citation on this page.

Alternative products to c-Jun (phospho Ser63) ELISA Kit (A104154)

Proteins predicted to interact with c-Jun

Predicted protein interactions based upon String database. Revelancy score correlates with probability of interaction.
99.9% Relevancy Score
99.9% Relevancy Score
99.9% Relevancy Score
99.9% Relevancy Score
99.9% Relevancy Score
99.9% Relevancy Score
99.9% Relevancy Score
99.9% Relevancy Score