ISO 9001:2015 Certified
Live Customer Support
4.5/5 on Trustpilot
100% Quality Guarantee

Human CRF ELISA Kit (A79234)

Shipping Information

$40
Dispatched from St. Louis, MO.
Lead Time: 7-11 business days.
Name
Human CRF ELISA Kit
Description
Human CRF ELISA Kit is a competitive Enzyme-Linked Immunosorbent Assay (cELISA) designed for the in vitro quantitative determination of human CRF in serum, plasma, tissue homogenates, and other biological fluids.
Assay Type
Competitive (quantitative)
Principle of Assay
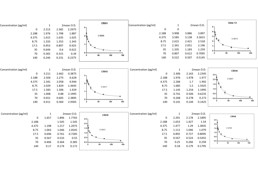
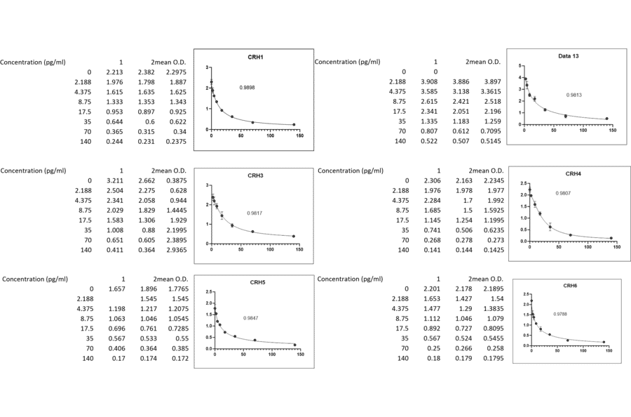
Human CRF ELISA Kit (A79234) employs the competitive enzyme immunoassay technique for the quantitative measurement of human CRF in serum, plasma, tissue homogenates, and other biological fluids. The 96-well microtiter plate has been pre-coated with CRF antigen. During the incubation, CRF present in the samples or standards competes with the fixed amount of immobilized CRF for binding sites on the Biotinylated Anti-CRF Antibody. The more CRF present in a sample or standard, the less Biotinylated Anti-CRF Antibody that binds to the plate. Following incubation, unbound Biotinylated Anti-CRF Antibody is removed by washing, and an HRP-Streptavidin conjugate is added to the wells and the microtiter plate is incubated. Following incubation and washing, TMB substrate solution is then used to visualize the HRP enzymatic reaction by catalysis to produce a blue-coloured product that changes to yellow after addition of acidic stop solution. The density of yellow is inversely proportional to the amount of CRF present in each sample or standard. The concentration of CRF can then be calculated by reading the O.D. absorbance at 450nm in a microplate reader and referring to the standard curve.
Platform
Pre-coated Microplate (12 x 8 well strips)
Detection Type
Colorimetric
Instrument
Colorimetric Microplate Reader
Sample Type
Serum, plasma, tissue homogenates, and other biological fluids.
Sensitivity
1.4 pg/ml
Product Range
2.188-140 pg/ml
Assay Time
2 hours
Reactivity
Human
Recovery
Sample Type n Range Average
Serum 5 88% - 104% 94%
EDTA Plasma 5 89% - 99% 95%
Heparin Plasma 5 85% - 99% 92%
Linearity
Sample Type n 1:2 1:4 1:8
Serum 5 90-103% 93-105% 94-105%
EDTA Plasma 5 86-98% 87-99% 82-97%
Heparin Plasma 5 81-98% 89-99% 88-99%
Precision
Intra-assay CV: < 8%, Inter-assay CV: < 10%
Storage
Store at +4°C. Do not use past expiration date!
Synonyms
Corticoliberin, Corticotropin-releasing factor, Corticotropin-releasing hormone, CRH
Product Note
Information online is representative. Always refer to the Product Manual inside the kit.
Disclaimer
This product is for research use only. It is not intended for diagnostic or therapeutic use.
Kit Components
Item Quantity Storage
Pre-Coated 96 Well Microplate 12 x 8 Well Strips +4°C
Lyopholized Standard 2 Vials +4°C
Sample Dilution Buffer 20ml +4°C
Biotinylated Detection Antibody 60µl +4°C
Antibody Dilution Buffer 10ml +4°C
HRP-Streptavidin Conjugate 120µl +4°C
SABC Dilution Buffer 10ml +4°C
TMB Substrate 10ml +4°C
Stop Solution 10ml +4°C
Wash Buffer (25X) 30ml +4°C
Plate Sealers 5 Adhesive Strips -
Foil Pouch 1 Zip-Sealed Pouch -
Required Materials
The following materials are not included in the kit, but are required to run this assay:
  • Microplate reader capable of measuring absorbance at 450nm ± 10nm.
  • Squirt bottle, multichannel pipette reservoir, or automated microplate washer.
  • Graph paper or computer software capable of generating logarithmic functions.
  • Test tubes and Eppendorf tubes to prepare standards and samples.
  • Multi- and single-channel pipettes and sterile pipette tips.
  • Deionized or distilled water.
  • Absorbent paper towels.
  • 37°C incubator.
Important Notes
  • Sample concentrations should be estimated before being used in the assay and a proper dilution factor should be selected to make the diluted target protein concentration fall in the optimal detection range of this kit.
  • Sample matrix components will interfere with the test results. All samples must be diluted at least 1:2 with Sample Dilution Buffer.
  • Hemolysis can greatly impact the validity of test results. Take care to minimize hemolysis.
  • This ELISA kit is intended for the analysis of biological samples and has not been validated for purified/recombinant proteins, industrial, or commercial materials. Performance with such samples cannot be guaranteed, as differences in expression, sequence, tags, folding, post-translational modifications, purity, activity, or buffer composition may affect assay results. For further guidance, please contact our technical support team.
Bring all reagents and samples to room temperature before use.
We recommend that all standards and samples be assayed in duplicate.
Step 1
Prepare all reagents, samples, and working standards as directed in the previous sections.
Step 2
Determine the number of microplate strips required for the assay and insert them into the plate frame. Unused strips should be stored in the foil pouch at +4°C.
Step 3
Wash the plate two times with Wash Buffer. Soak wells with 350μl of Wash Buffer for 1-2 minutes each time. Note: Complete removal of liquid at each step is essential to good performance. After the last wash, remove any remaining Wash Buffer by aspirating or decanting. Blot the plate onto paper towels or other absorbent material. Do not let the wells dry completely at any time!
Step 4
Add 50μl of standard solutions to the standard wells. Note: A plate layout is provided to record standards and samples assayed.
Step 5
Add 50μl of samples to the sample wells. Note: All samples must be properly diluted in order to produce sample values within the dynamic range of the assay.
Step 6
Immediately add 50μl of Biotinylated Detection Antibody working solution to each well. Gently tap the plate to ensure thorough mixing for 1 minute.
Step 7
Cover with an adhesive plate sealer provided and incubate at 37°C for 45 minutes.
Step 8
Remove the plate sealer, aspirate the liquid from the plate, and wash the plate three times with Wash Buffer. Soak wells with 350μl of Wash Buffer for 1-2 minutes each time.
Step 9
Add 100μl of HRP-Streptavidin Conjugate (SABC) working solution to each well.
Step 10
Cover with a new adhesive plate sealer and incubate at 37°C for 30 minutes.
Step 11
Remove the plate sealer, aspirate the liquid from the plate, and wash the plate five times with Wash Buffer. Soak wells with 350μl of Wash Buffer for 1-2 minutes each time.
Step 12
Add 90μl of TMB Substrate to each well. Cover with a new adhesive plate sealer and incubate at 37°C in the dark for 10-20 minutes. Note: This incubation time is for reference only, the optimal reaction time should be determined by the end-user and can be shortened or extended according to the actual color change. The reaction may be terminated when a gradient is apparent in the standard wells. Do not exceed 30 minutes!
Step 13
Add 50μl of Stop Solution to each well. The color in the wells should change from blue to yellow immediately. Note: If the color in the wells is green or the color change does not appear uniform, gently tap the plate to ensure thorough mixing.
Step 14
Determine the optical density (O.D. value) of each well immediately using a microplate reader set to 450 nm.
Publishing research using Human CRF ELISA Kit (A79234)? Please let us know so that we can list the citation on this page.

Alternative products to Human CRF ELISA Kit (A79234)

Proteins predicted to interact with CRF

Predicted protein interactions based upon String database. Revelancy score correlates with probability of interaction.
99.9% Relevancy Score
99.9% Relevancy Score
99.9% Relevancy Score
99.7% Relevancy Score
99.2% Relevancy Score
97.6% Relevancy Score
95.1% Relevancy Score
94.5% Relevancy Score
94.2% Relevancy Score