Human IP-10 ELISA Kit (A101907) has been discontinued and is no longer available.
View all CXCL10 ELISA Kits.
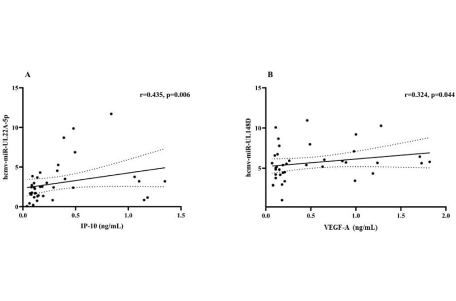
Human cytomegalovirus (HCMV) coinfection is associated with a faster HIV disease progression and adverse clinical outcomes. HCMV-encoded miRNA expression, in individuals acutely infected with HIV (AHI), compared to those with HCMV monoinfection, was investigated in relation to viral replication and inflammation/immune activation. Sixteen individuals with AHI coinfected with HCMV were analyzed at serodiagnosis (T0) and after 6 (T1) and 12 (T2) months of antiretroviral therapy initiated within one week from serodiagnosis. Fourteen HCMV monoinfected subjects were also studied. Plasma RNA was reverse-transcribed and amplified with a panel designed to detect 14 different HCMV-microRNAs (miRNAs). VEGF-A and IP-10 plasma levels were quantified using ELISA. Except for hcmv-miR-70-3p, detected in all subjects, hcmv-miR-UL112-3p, hcmv-miR-US25-1-5p, hcmv-miR-US25-2-3p, hcmv-miR-US4-5p, hcmv-miR-US5-1, hcmv-miR-US5-2-3p, hcmv-miR-UL36-3p, and hcmv-miR-UL36-5p were significantly more frequently detected when HCMV DNA was present (lytic infection). In latent HCMV infection, hcmv-miR-UL22A-5p and hcmv-miR-UL148D were more frequently observed in HIV/HCMV-coinfected individuals, compared to mono-HCMV infection. Hcmv-miR-UL22A-5p and hcmv-miR-US33-5p showed a direct correlation with HIV-1 RNA. Notable positive correlations between hcmv-miR-UL22A-5p and the interferon-gamma-inducible protein 10 (IP-10), as well as between hcmv-miR-UL148D and the vascular endothelial growth factor A (VEGF-A), were also observed. HCMV-miRNA expression varies between lytic and latent infection and differs in HIV coinfection. In HCMV/HIV coinfection, increased levels of hcmv-miR-UL148D, associated with VEGF-A production, seem to be less linked to HIV viremia with respect to hcmv-miR-UL22A-5p and hcmv-miR-US33-5p. A deeper understanding of HCMV-encoded miRNA biology may facilitate the comprehension of HCMV/HIV coinfection pathogenetic mechanisms.