ISO 9001:2015 Certified
Live Customer Support
4.5/5 on Trustpilot
100% Quality Guarantee

STAT1 (phospho Ser727) Cell-Based ELISA Kit (A102147)

$710

Shipping Information

$40
Dispatched from St. Louis, MO.
Lead Time: 6-8 business days.
Name
STAT1 (phospho Ser727) Cell-Based ELISA Kit
Description
STAT1 (phospho Ser727) Cell-Based ELISA Kit is a Enzyme-Linked Immunosorbent Assay designed for the indirect in vitro quantitative determination of STAT1 levels in adherent and suspension cells.
Assay Type
Cell-based (qualitative)
Principle of Assay
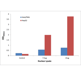
This STAT1 (phospho Ser727) Cell-Based ELISA Kit allows for the detection of STAT1 (phospho Ser727) and the effects that certain stimulation conditions have on STAT1 (phospho Ser727) expression in different cell lines. Qualitative determination of STAT1 (phospho Ser727) concentration is achieved by an indirect ELISA format. In essence, the STAT1 (phospho Ser727) is captured by Anti-STAT1 (phospho Ser727) Antibodies which in turn are detected by HRP-conjugated secondary antibodies. Through this binding, the HRP enzyme (conjugated to the secondary antibody) can catalyze a colorimetric reaction upon substrate addition. Due to the qualitative nature of this STAT1 (phospho Ser727) Cell-Based ELISA Kit, multiple normalization methods are described: 1) Anti-GAPDH Antibody is included to serve as an internal positive control in normalizing the target absorbance values. 2) Following the colorimetric measurement of HRP activity via substrate addition, the Crystal Violet whole-cell staining method is used to determine cell density. After staining, the results can be analyzed by normalizing the absorbance values to cell amounts, by which the plating difference can be adjusted. 3) Anti-STAT1 Antibody is provided for normalization purposes. The absorbance values obtained for the non-phosphorylated target can be used to normalize the absorbance values for the phosphorylated target.
Platform
Tissue Culture Treated Microplate
Detection Type
Colorimetric
Sample Type
Adherent and suspension cells.
Product Range
> 5000 Cells
Assay Time
4 hours 30 minutes
Reactivity
Human (Ser727), Mouse (Ser727), Rat (Ser727)
Cross Reactivity
No reported cross-reactivity.
Storage
Store at + 4°C. Stable for 3-6 months.
Synonyms
Signal transducer and activator of transcription 1-alpha/beta, Transcription factor ISGF-3 components p91/p84
Product Note
Information online is representative. Always refer to the Product Manual inside the kit.
Disclaimer
This product is for research use only. It is not intended for diagnostic or therapeutic use.
Publishing research using STAT1 (phospho Ser727) Cell-Based ELISA Kit (A102147)? Please let us know so that we can list the citation on this page.

Alternative products to STAT1 (phospho Ser727) Cell-Based ELISA Kit (A102147)

Proteins predicted to interact with STAT1

Predicted protein interactions based upon String database. Revelancy score correlates with probability of interaction.
99.9% Relevancy Score
99.9% Relevancy Score
99.9% Relevancy Score
99.9% Relevancy Score
99.9% Relevancy Score
99.9% Relevancy Score
99.9% Relevancy Score
99.9% Relevancy Score
99.8% Relevancy Score