Notice: Error: The total number of locks exceeds the lock table size
Error No: 1206
INSERT INTO oc_analytics set ip = '', agent = 'Mozilla/5.0 AppleWebKit/537.36 (KHTML, like Gecko; compatible; ClaudeBot/1.0; +claudebot@anthropic.com)', url = '/catalog/elisa-kits/tcfl5-elisa-kit-a104253', route = 'product/product', port = '62345', country_code ='US', country_name='United States', city='Columbus', organisation='', referrer='', adflag='N', adcampaign='', adurl='', product_id='104253' in D:\wwwroot_antibodies\system\library\db\mysqli.php on line 42 TCFL5 ELISA Kit (A104253)
ISO 9001:2015 Certified
Live Customer Support
4.5/5 on Trustpilot
100% Quality Guarantee

TCFL5 ELISA Kit (A104253)

$695

Shipping Information

$40
Dispatched from St. Louis, MO.
Lead Time: 6-8 business days.
Name
TCFL5 ELISA Kit
Assay Type
Indirect
Principle of Assay
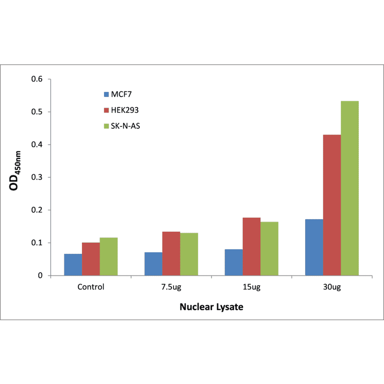
This TCFL5 ELISA Kit applies the qualitative technique of an indirect ELISA. Streptavidin is bound to the immunoassay plate and specific biotinylated double stranded (dsDNA) oligonucleotides are then added to bind to the streptavidin via a high affinity biotin-streptavidin interaction. After subsequent blocking of extraneous binding sites in each well, the sample containing the target of interest can be added. Primary antibody is added to bind activated transcription factors bound to the dsDNA oligonucleotide, which has been immobilized via the plate-coated streptavidin. A HRP-conjugated secondary antibody specific for rabbit IgGs is added, which allows for specific binding to the Primary Antibody, and consequently colorimetric detection upon addition of the TMB substrate. For color development, TMB (3, 3’, 5, 5’-Tetramethylbenzidine) is added to each well. After addition of the substrate, a peroxidase catalyzed reaction will produce a blue TMB Diimine product that is proportional to the target concentration in the sample. Color development is quenched by addition of Stop Solution, or 2 N Sulfuric Acid, which turns the solution yellow. The absorbance can then be read by a spectrophotometer at 450 nm and subsequently allowing for determination of the target concentration in the sample.
Platform
Microplate
Detection Type
Colorimetric
Reactivity
Human, Mouse
Storage
Store at + 4°C. Stable for 6 months.
Synonyms
CHA, Cha transcription factor, E2BP-1, E2BP1, HPV-16 E2-binding protein 1, Transcription factor-like 5 protein
Product Note
Information online is representative. Always refer to the Product Manual inside the kit.
Disclaimer
This product is for research use only. It is not intended for diagnostic or therapeutic use.
Publishing research using TCFL5 ELISA Kit (A104253)? Please let us know so that we can list the citation on this page.

Proteins predicted to interact with TCFL5

Predicted protein interactions based upon String database. Revelancy score correlates with probability of interaction.
48.7% Relevancy Score
41.6% Relevancy Score
38.7% Relevancy Score
38.4% Relevancy Score
35.8% Relevancy Score
35.4% Relevancy Score
35.1% Relevancy Score
30.6% Relevancy Score
28.1% Relevancy Score