Unconjugated
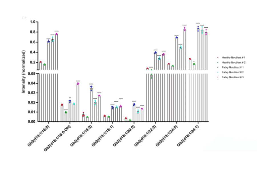
Fabry disease, the second most common lysosomal storage disorder, is caused by a deficiency of a-galactosidase A (a-Gal A), which leads to an accumulation of glycosphingolipids (GSL), mainly globotriaosylceramide (also known as Gb3). This aberrant GSL metabolism subsequently causes cellular dysfunction; however, the underlying cellular and molecular mechanisms are still unknown. There is growing evidence that damage to organelles, including lysosomes, mitochondria, and plasma membranes, is associated with substrate accumulation. Current methods for the detection of Gb3 are based on anti-Gb3 antibodies, the specificity and sensitivity of which are problematic for glycan detection. This study presents a robust method using lectins, specifically the B-subunit of Shiga toxin (StxB) from Shigella dysenteriae and LecA from Pseudomonas aeruginosa, as alternatives for Gb3 detection in Fabry fibroblasts by flow cytometry and confocal microscopy. StxB and LecA showed superior sensitivity, specificity, and consistency in different cell types compared to all anti-Gb3 antibodies used in this study. In addition, sphingolipid metabolism was analyzed in primary Fabry fibroblasts and a-Gal A knockout podocytes using targeted tandem liquid chromatography-mass spectrometry. Our findings establish lectins as a robust tool for improved diagnostics and research of Fabry disease and provide evidence of SL changes in cultured human cells, filling a knowledge gap.