Recombinant human monoclonal [PY314] antibody to TREM2.
Applications
ELISA, FACS, Functional Assay, In Vivo
Reactivity
Human, Mouse, Cynomolgus Macaque, Rhesus Macaque
Host
Human
Clonality
Monoclonal
Clone ID
PY314
Isotype
IgG1
Light Chains
kappa
Conjugate
Unconjugated
Purification
Protein A affinity chromatography.
Concentration
Reconstitution dependent.
Molecular Weight
This antibody has a predicted MW of 145.4 kDa.
Purity
> 95% (by SDS-PAGE and SEC-HPLC).
Product Form
Lyophilized
Reconstitution
Reconstitute with 100µl of sterile double-distilled water to bring antibody to 1mg/ml concentration. Gently shake to solubilize completely. Do not vortex!
Formulation
Lyophilized from 25mM Histadine, pH 6.2, with 8% Sucrose and 0.01% Tween80.
Storage
Shipped at 4°C. Lyophilized: Store at -20°C to -80°C. Reconstituted: Aliquot and store at -80°C. Product is stable for one year. Avoid freeze/thaw cycles.
Synonyms
TREM-2, Triggering receptor expressed on monocytes 2, Triggering receptor expressed on myeloid cells 2
SDS-PAGE analysis of Anti-TREM2 Antibody [PY314] - Low endotoxin, Azide free (A324279) under reducing (R) conditions confirms that the purity of this antibody is greater than 95%.
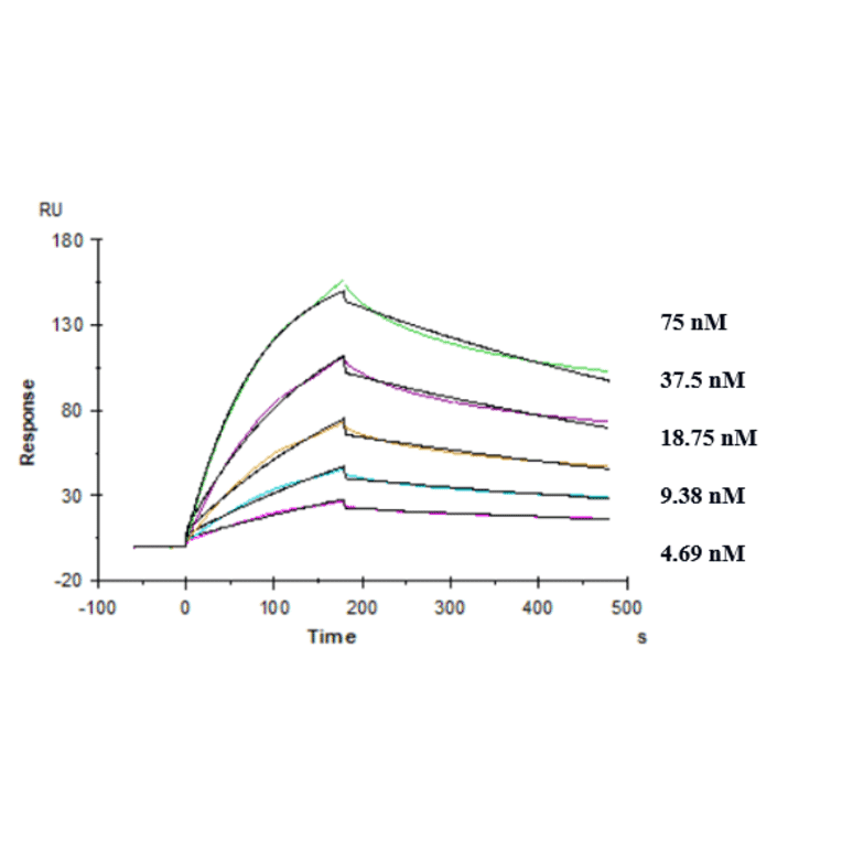
Anti-TREM2 Antibody [PY314] - Low endotoxin, Azide free (A324279) has an affinity constant of 1.61E-08 M as determined in SPR assay, using human TREM2, His Tag.
Anti-TREM2 Antibody [PY314] - Low endotoxin, Azide free (A324279) has an affinity constant of 7.77E-09 M as determined in SPR assay, using Mouse TREM2, His Tag.
Anti-TREM2 Antibody [PY314] - Low endotoxin, Azide free (A324279) has an affinity constant of 4.56E-09 M as determined in SPR assay, using Cynomolgus / Rhesus Macaque TREM2, His Tag.
Human TREM2 CHO-K1 cells were stained with Anti-TREM2 Antibody [PY314] - Low endotoxin, Azide free (A324279) and negative control protein respectively, washed and then followed by PE and analyzed with FACS, EC50 = 0.1896 µg/ml.
Publishing research using Recombinant Anti-TREM2 Antibody [PY314] - Low endotoxin, Azide free (A324279)? Please let us know so that we can list the citation on this page.
Alternative products to Anti-TREM2 Antibody [PY314] - Low endotoxin, Azide free (A324279)
Recombinant humanized monoclonal antibody to TREM2 for use as a research grade Anti-Human TREM2 Anti for ELISA, Flow Cytometry, Functional Studies and in vivo Research.
Recombinant human monoclonal antibody to TREM2 for use as a research grade Iluzanebart biosimilar for ELISA, Flow Cytometry, Functional Studies and in vivo Research.
Recombinant humanantibody to TREM2 for use as a research grade DNL919-ATV biosimilar for ELISA, Flow Cytometry, Functional Studies and in vivo Research.
Recombinant human monoclonal antibody to TREM2 for use as a research grade Anti-Human TREM2 Antibody for ELISA, Flow Cytometry, Functional Studies and in vivo Research.
Recombinant human monoclonal antibody to TREM2 for use as a research grade DNL919 biosimilar for ELISA, Flow Cytometry, Functional Studies and in vivo Research.
Recombinant human monoclonal antibody to TREM2 for use as a research grade PY314 biosimilar for ELISA, Flow Cytometry, Functional Studies and in vivo Research.
Recombinant human monoclonal antibody to TREM2 for use as a research grade VGL101 biosimilar for ELISA, Flow Cytometry, Functional Studies and in vivo Research.
Recombinant humanized monoclonal antibody to TREM2 for use as a research grade Anti-Human TREM2 Anti for ELISA, Flow Cytometry, Functional Studies and in vivo Research.
Recombinant human monoclonal antibody to TREM2 for use as a research grade Iluzanebart biosimilar for ELISA, Flow Cytometry, Functional Studies and in vivo Research.
Recombinant humanantibody to TREM2 for use as a research grade DNL919-ATV biosimilar for ELISA, Flow Cytometry, Functional Studies and in vivo Research.
Recombinant human monoclonal antibody to TREM2 for use as a research grade Anti-Human TREM2 Antibody for ELISA, Flow Cytometry, Functional Studies and in vivo Research.
Recombinant human monoclonal antibody to TREM2 for use as a research grade DNL919 biosimilar for ELISA, Flow Cytometry, Functional Studies and in vivo Research.
Recombinant human monoclonal antibody to TREM2 for use as a research grade PY314 biosimilar for ELISA, Flow Cytometry, Functional Studies and in vivo Research.
Recombinant human monoclonal antibody to TREM2 for use as a research grade VGL101 biosimilar for ELISA, Flow Cytometry, Functional Studies and in vivo Research.