Recombinant Cynomolgus macaque IL-3RA Protein (C-terminal His Tag)
Expression System
HEK293 cells
Nature
Recombinant
Protein Species
Cynomolgus macaque
Tag
C-terminal His Tag
Conjugate
Unconjugated
Purity
>95% (by Tris-Bis PAGE).
Product Form
Lyophilized
Concentration
Reconstitution dependent.
Endotoxin Level
<1 EU/µg of the protein by LAL method.
Storage
Shipped at 4°C. Lyophilized: Store at -20°C to -80°C up to 1 year from the date of receipt. Reconstituted: Aliquot and store at -20°C for 3 months or 2-8°C for up to 1 week. Avoid freeze/thaw cycles.
Recombinant Cynomolgus macaque IL-3RA Protein (C-terminal His Tag) (A331695)
Tris-Bis PAGE of Recombinant Cynomolgus macaque IL-3RA Protein (C-terminal His Tag) (A331695) under reducing conditions confirms that purity is greater than 95%.
Recombinant Cynomolgus macaque IL-3RA Protein (C-terminal His Tag) (A331695)
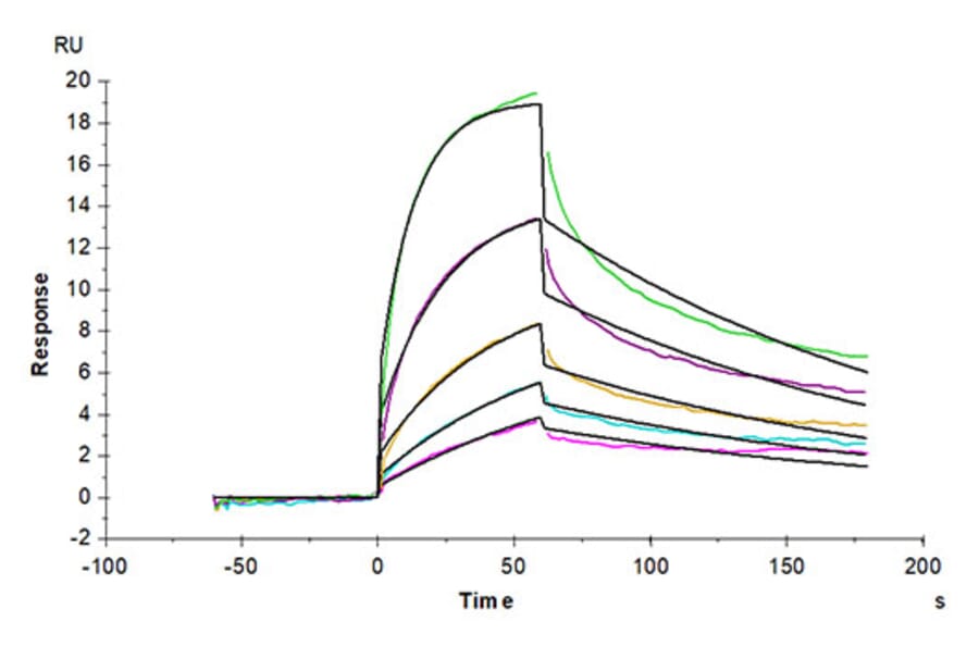
Human IL-3 (hFc Tag) binding to Recombinant Cynomolgus macaque IL-3RA Protein (C-terminal His Tag) (A331695) on a CM5 Chip via Anti-His Antibody, analyzed by surface plasmon resonance (SPR; Biacore T200). Affinity constant = 48.13 nM.
Recombinant Cynomolgus macaque IL-3RA Protein (C-terminal His Tag) (A331695)
Cynomolgus IL-3 (His Tag) binding to Recombinant Cynomolgus macaque IL-3RA Protein (C-terminal His Tag) (A331695) on a CM5 Chip, analyzed by surface plasmon resonance (SPR; Biacore T200). Affinity constant = 1.30 nM.
Publishing research using Recombinant Cynomolgus macaque IL-3RA Protein (C-terminal His Tag) (A331695)? Please let us know so that we can list the citation on this page.
Proteins predicted to interact with CD123
Predicted protein interactions based upon String database. Revelancy score correlates with probability of interaction.