Recombinant Human Albumin Protein (Biotin) (C-terminal His and Avi Tag)
Expression System
HEK293 cells
Nature
Recombinant
Protein Species
Human
Tag
C-terminal His and Avi Tag
Conjugate
Biotin
Purity
>95% (by Tris-Bis PAGE and HPLC).
Product Form
Lyophilized
Concentration
Reconstitution dependent.
Formulation
Lyophilized from Phosphate Buffered Saline, pH 7.4, with 8% Trehalose (0.22µm filter sterilized).
Endotoxin Level
<1 EU/µg of the protein by LAL method.
Storage
Shipped at 4°C. Lyophilized: Store at -20°C to -80°C up to 1 year from the date of receipt. Reconstituted: Aliquot and store at -20°C for 3 months or 2-8°C for up to 1 week. Avoid freeze/thaw cycles.
Synonyms
ALB
Disclaimer
This product is for research use only. It is not intended for diagnostic or therapeutic use.
Recombinant Human Albumin Protein (Biotin) (C-terminal His and Avi Tag) (A330082)
Tris-Bis PAGE of Recombinant Human Albumin Protein (Biotin) (C-terminal His and Avi Tag) (A330082) under reducing conditions confirms that purity is greater than 95%.
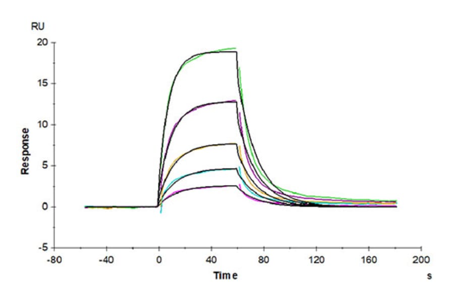
Recombinant Human Albumin Protein (Biotin) (C-terminal His and Avi Tag) (A330082)
Human FcRn (His Tag) binding to Recombinant Human Albumin Protein (Biotin) (C-terminal His and Avi Tag) (A330082) on a CM5 Chip, analyzed by surface plasmon resonance (SPR; Biacore T200). Affinity constant = 1.67 µM.
Publishing research using Recombinant Human Albumin Protein (Biotin) (C-terminal His and Avi Tag) (A330082)? Please let us know so that we can list the citation on this page.
Proteins predicted to interact with Albumin
Predicted protein interactions based upon String database. Revelancy score correlates with probability of interaction.