Recombinant Human IL-2 Protein (mutated L100F + R101D + L105V + I106V + I112F) (6xHis Tag)
Applications
Cell Proferation Assay, SDS-PAGE
Expression System
HEK293 cells
Nature
Recombinant
Protein Species
Human
Protein Length
Protein fragment.
Amino Acids
Ala21-Thr153 (L100F, R101D, L105V, I106V, I112F)
Tag
C-terminal 6xHis Tag
Molecular Weight
16.5 KDa
Conjugate
Unconjugated
Purity
> 95% by SDS-PAGE under reducing conditions.
Product Form
Lyophilized
Concentration
Reconstitution dependent.
Formulation
Lyophilized from a 0.2 µm filtered solution of 4mM HCl.
Storage
Shipped at 4°C. Lyophilized: Store at -20°C to -80°C. Reconstituted: Aliquot and store at -80°C. Product is stable for one year. Avoid freeze/thaw cycles.
Synonyms
IL2, Interleukin-2, T-cell growth factor, TCGF
Disclaimer
This product is for research use only. It is not intended for diagnostic or therapeutic use.
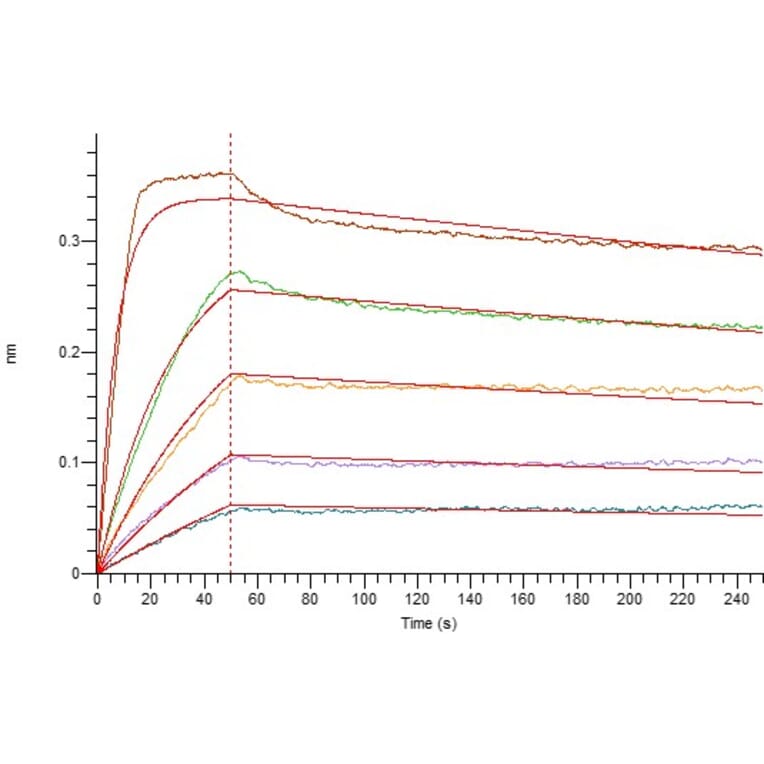
Recombinant Human IL-2 Protein (mutated L100F + R101D + L105V + I106V + I112F) (6xHis Tag) (A317605)
Loaded Human IL-2RB-Fc on Protein A Biosensor, can bind Recombinant Human IL-2 Protein (mutated L100F + R101D + L105V + I106V + I112F) (6×His Tag) (A317605) with an affinity constant of 0.58 nM as determined in BLI assay.
Recombinant Human IL-2 Protein (mutated L100F + R101D + L105V + I106V + I112F) (6xHis Tag) (A317605)
Measurement of Recombinant Human IL-2 Protein (mutated L100F + R101D + L105V + I106V + I112F) (6×His Tag) (A317605) in a cell proliferation assay using CTLL-2 mouse cytotoxic T cells. The ED50 for this effect is 151.39 pg/ml.
Recombinant Human IL-2 Protein (mutated L100F + R101D + L105V + I106V + I112F) (6xHis Tag) (A317605)
Loaded Human IL-2RA-Fc on Protein A Biosensor, can bind Recombinant Human IL-2 Protein (mutated L100F + R101D + L105V + I106V + I112F) (6×His Tag) (A317605) with an affinity constant of 10.4 nM as determined in BLI assay.
Publishing research using Recombinant Human IL-2 Protein (mutated L100F + R101D + L105V + I106V + I112F) (6xHis Tag) (A317605)? Please let us know so that we can list the citation on this page.
Alternative products to Recombinant Human IL-2 Protein (mutated L100F + R101D + L105V + I106V + I112F) (6xHis Tag) (A317605)