ISO 9001:2015 Certified
Live Customer Support
4.5/5 on Trustpilot
100% Quality Guarantee

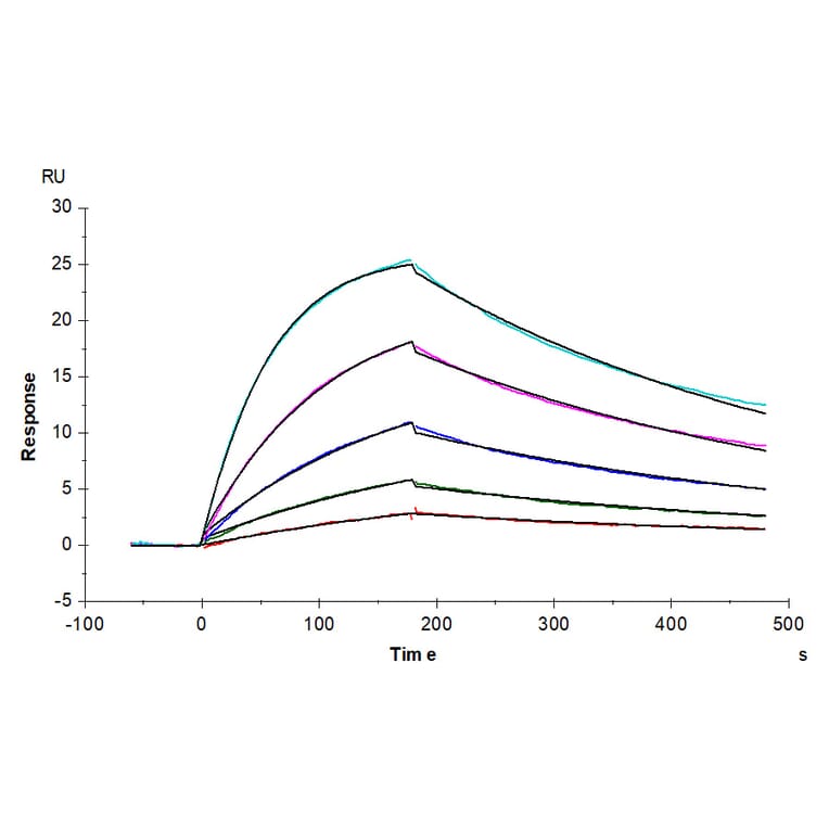
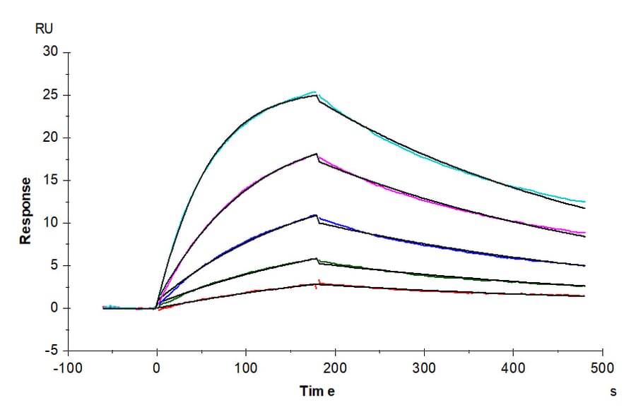
Recombinant Human IL-27-A + EBI3 Protein (N-terminal His and NO Tag) (A330876)

Shipping Information

$40
Dispatched from St. Louis, MO.
Lead Time: 7-10 business days.
Name
Recombinant Human IL-27-A + EBI3 Protein (N-terminal His and NO Tag)
Expression System
HEK293 cells
Nature
Recombinant
Protein Species
Human
Sequence
PRPPGRPQLSLQELRREFTVSLHLARKLLSEVRGQAHRFAESHLPGVNLYLLPLGEQLPDVSLTFQAWRRLSDPERLCFISTTLQPFHALLGGLGTQGRWTNMERMQLWAMRLDLRDLQRHLRFQVLAAGFNLPEEEEEEEEEEEEERKGLLPGALGSALQGPAQVSWPQLLSTYRLLHSLELVLSRAVRELLLLSKAGHSVWPLGFPTLSPQP&RKGPPAALTLPRVQCRASRYPIAVDCSWTLPPAPNSTSPVSFIATYRLGMAARGHSWPCLQQTPTSTSCTITDVQLFSMAPYVLNVTAVHPWGSSSSFVPFITEHIIKPDPPEGVRLSPLAERQLQVQWEPPGSWPFPEIFSLKYWIRYKRQGAARFHRVGPIEATSFILRAVRPRARYYVQVAAQDLTDYGELSDWSLPATATMSLGK
Tag
N-terminal His and NO Tag
Conjugate

Unconjugated

Purity
>95% (by SDS-PAGE).
Product Form
Lyophilized
Concentration
Reconstitution dependent.
Formulation
Lyophilized from Phosphate Buffered Saline, pH 7.4 (0.22µm filter sterilized).
Endotoxin Level
<1 EU/µg of the protein by LAL method.
Storage
Shipped at 4°C. Lyophilized: Store at -20°C to -80°C up to 1 year from the date of receipt. Reconstituted: Aliquot and store at -20°C for 3 months or 2-8°C for up to 1 week. Avoid freeze/thaw cycles.
Disclaimer
This product is for research use only. It is not intended for diagnostic or therapeutic use.
Publishing research using Recombinant Human IL-27-A + EBI3 Protein (N-terminal His and NO Tag) (A330876)? Please let us know so that we can list the citation on this page.