Lyophilized from Phosphate Buffered Saline, pH 7.4, with 8% Trehalose (0.22µm filter sterilized).
Endotoxin Level
<1 EU/µg of the protein by LAL method.
Storage
Shipped at 4°C. Lyophilized: Store at -20°C to -80°C up to 1 year from the date of receipt. Reconstituted: Aliquot and store at -20°C for 3 months or 2-8°C for up to 1 week. Avoid freeze/thaw cycles.
Disclaimer
This product is for research use only. It is not intended for diagnostic or therapeutic use.
Recombinant Human soluble IL2 Receptor beta Protein (C-terminal His and Avi Tag) (A331286)
Tris-Bis PAGE of Recombinant Human soluble IL2 Receptor beta Protein (C-terminal His and Avi Tag) (A331286) under reducing conditions confirms that purity is greater than 95%.
Recombinant Human soluble IL2 Receptor beta Protein (C-terminal His and Avi Tag) (A331286)
SEC-HPLC analysis of Recombinant Human soluble IL2 Receptor beta Protein (C-terminal His and Avi Tag) (A331286) confirms that purity is greater than 95%.
Standard Curve - Recombinant Human soluble IL2 Receptor beta Protein (C-terminal His and Avi Tag) (A331286)
ELISA examination of immobilized Human IL-2 R beta, His Tag, (2 µg/mL) binding Recombinant Human soluble IL2 Receptor beta Protein (C-terminal His and Avi Tag) (A331286): EC50 =43.7ng/mL.
Recombinant Human soluble IL2 Receptor beta Protein (C-terminal His and Avi Tag) (A331286)
Human IL-15 binding to Recombinant Human soluble IL2 Receptor beta Protein (C-terminal His and Avi Tag) (A331286) on a CM5 Chip via Anti-His Antibody, analyzed by surface plasmon resonance (SPR; Biacore T200). Affinity constant = 5.9nM.
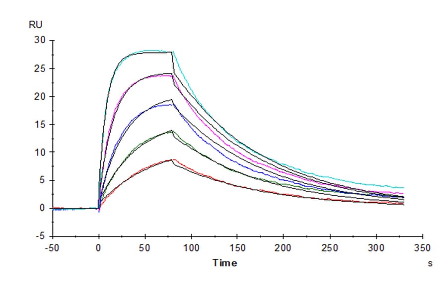
Recombinant Human soluble IL2 Receptor beta Protein (C-terminal His and Avi Tag) (A331286)
Human IL-2 binding to Recombinant Human soluble IL2 Receptor beta Protein (C-terminal His and Avi Tag) (A331286) on a CM5 Chip via Anti-His Antibody, analyzed by surface plasmon resonance (SPR; Biacore T200). Affinity constant = 0.12 µM.
Publishing research using Recombinant Human soluble IL2 Receptor beta Protein (C-terminal His and Avi Tag) (A331286)? Please let us know so that we can list the citation on this page.