ISO 9001:2015 Certified
Live Customer Support
4.5/5 on Trustpilot
100% Quality Guarantee

Anti-IgG Antibody (HRP) (A189)

This product is discontinued

Anti-IgG Antibody (HRP) (A189) has been discontinued and is no longer available.

View all available products.

Name
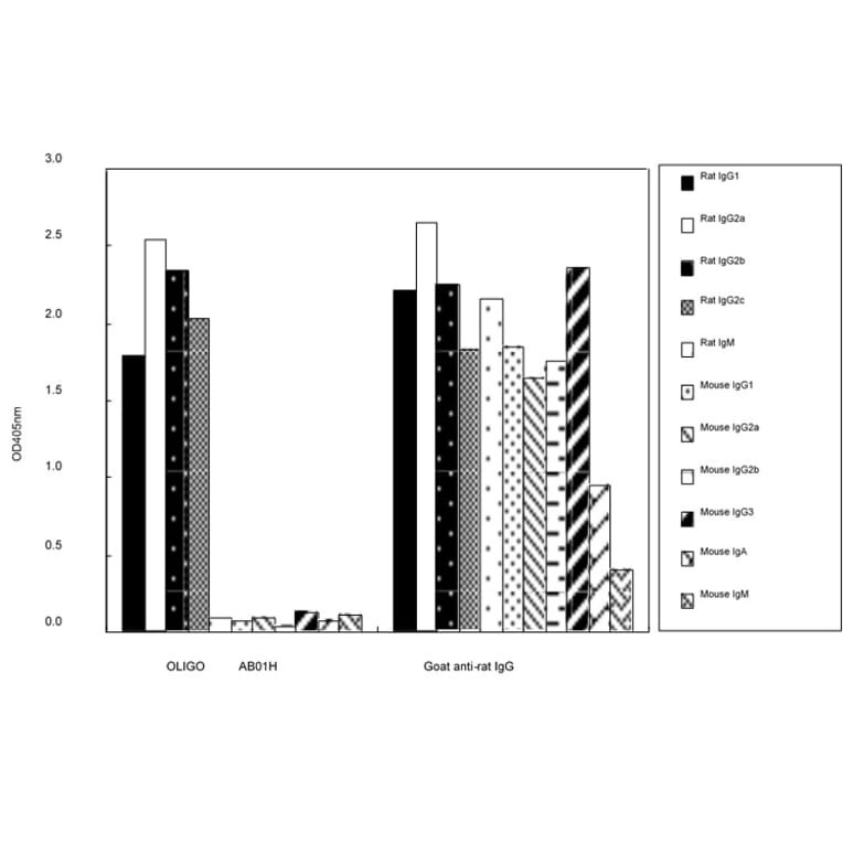
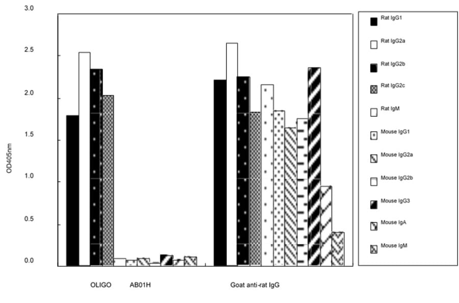
Anti-IgG Antibody (HRP)
Description
Mouse anti-IgG (H chains) antibody (HRP).
Host Species
Mouse
Target Species
Rat
Recommended Dilutions
ELISA: 1/2,000, WB: 1/1,000-1/10,000.
Immunogen
Rat IgG.
Isotype
IgG
Conjugate

HRP

Product Form
Liquid
Purification
IgG is purified through a Protein A column and labelled with horseradish peroxidase.
Formulation
Supplied in Phosphate Buffered Saline with 0.01% Thimerosal.
Storage
Shipped at 4°C. Upon delivery aliquot and store at -20°C. Avoid freeze / thaw cycles.
Disclaimer
This product is for research use only. It is not intended for diagnostic or therapeutic use.