ISO 9001:2015 Certified
Live Customer Support
4.5/5 on Trustpilot
100% Quality Guarantee

CEBPZ ELISA Kit (A104251)

$735

Shipping Information

$40
Dispatched from St. Louis, MO.
Lead Time: 6-8 business days.
Name
CEBPZ ELISA Kit
Description
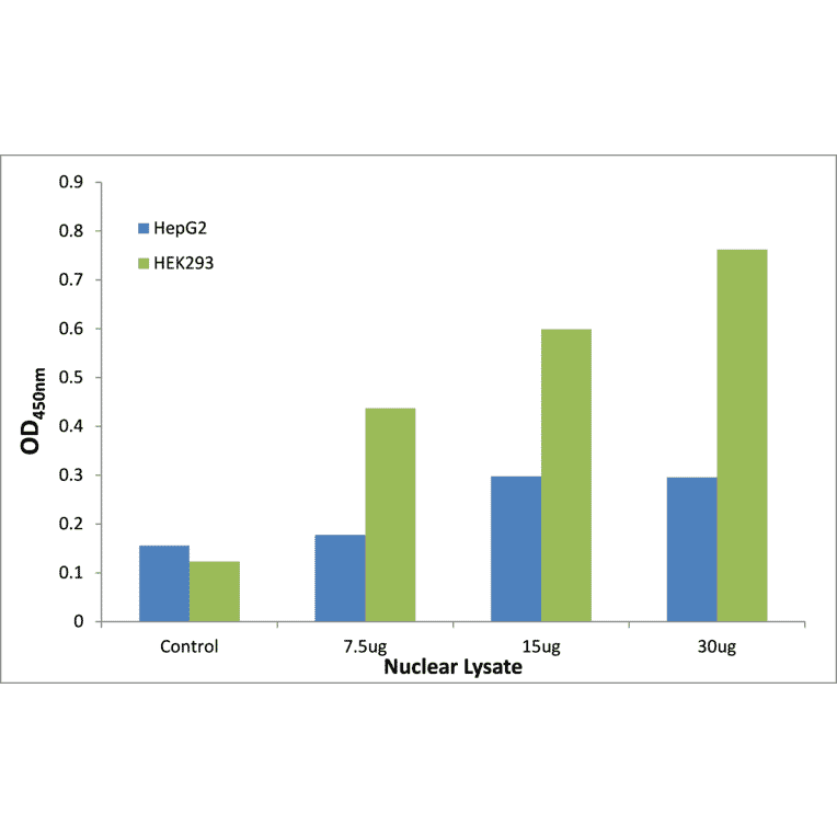
CEBPZ ELISA Kit is a Indirect Enzyme-Linked Immunosorbent Assay designed for the indirect in vitro quantitative determination of CEBPZ levels in nuclear lysates.
Assay Type
Indirect
Principle of Assay
This CEBPZ ELISA Kit applies the qualitative technique of an indirect ELISA. Streptavidin is bound to the immunoassay plate and specific biotinylated double stranded (dsDNA) oligonucleotides are then added to bind to the streptavidin via a high affinity biotin-streptavidin interaction. After subsequent blocking of extraneous binding sites in each well, the sample containing the target of interest can be added. Primary antibody is added to bind activated transcription factors bound to the dsDNA oligonucleotide, which has been immobilized via the plate-coated streptavidin. A HRP-conjugated secondary antibody specific for rabbit IgGs is added, which allows for specific binding to the Primary Antibody, and consequently colorimetric detection upon addition of the TMB substrate. For color development, TMB (3, 3’, 5, 5’-Tetramethylbenzidine) is added to each well. After addition of the substrate, a peroxidase catalyzed reaction will produce a blue TMB Diimine product that is proportional to the target concentration in the sample. Color development is quenched by addition of Stop Solution, or 2 N Sulfuric Acid, which turns the solution yellow. The absorbance can then be read by a spectrophotometer at 450 nm and subsequently allowing for determination of the target concentration in the sample.
Platform
Pre-coated Microplate (12 x 8 well strips)
Detection Type
Colorimetric
Sample Type
Nuclear lysates.
Reactivity
Human
Cross Reactivity
No reported cross-reactivity.
Storage
Store at + 4°C. Stable for 3-6 months.
Synonyms
CBF2, CCAAT-binding factor, CCAAT-box-binding transcription factor, CCAAT/enhancer-binding protein zeta
Product Note
Information online is representative. Always refer to the Product Manual inside the kit.
Disclaimer
This product is for research use only. It is not intended for diagnostic or therapeutic use.
Publishing research using CEBPZ ELISA Kit (A104251)? Please let us know so that we can list the citation on this page.

Alternative products to CEBPZ ELISA Kit (A104251)

Proteins predicted to interact with CBF

Predicted protein interactions based upon String database. Revelancy score correlates with probability of interaction.
93.5% Relevancy Score
92.5% Relevancy Score
92% Relevancy Score
90.3% Relevancy Score
89.3% Relevancy Score
88.6% Relevancy Score
85.3% Relevancy Score
84.4% Relevancy Score
80.5% Relevancy Score