Explore our range of CBF ELISA kits for the qualitative or quantitative detection of CBF from human samples.
Synonyms: CBF2, CCAAT-binding factor, CCAAT-box-binding transcription factor, CCAAT/enhancer-binding protein zeta and CEBPZ
CEBPZ Cell-Based ELISA Kit (A103695) | |
96T/$605 | |
| Applications: | Cell-Based ELISA |
| Reactivity: | Human |
| Sample Type: | Adherent and suspension cells. |
| Range: | > 5000 Cells |
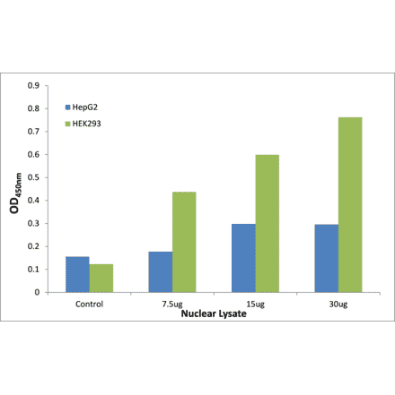
CEBPZ ELISA Kit (A104251) | |
96T/$735 | |
| Applications: | DNA-Binding ELISA |
| Reactivity: | Human |
| Sample Type: | Nuclear lysates. |
| Detection Type: | Colorimetric |
Human CBF ELISA Kit (A87175) | |
96T/$665 | |
| Applications: | Sandwich ELISA |
| Reactivity: | Human |
| Sample Type: | Serum, plasma, tissue homogenates, and other biological fluids. |
| Range: | 78.125-5000 pg/ml |
Showing 1-3 of 3 products