ISO 9001:2015 Certified
Live Customer Support
4.5/5 on Trustpilot
100% Quality Guarantee

NFYB ELISA Kit (A104284)

$735

Shipping Information

$40
Dispatched from St. Louis, MO.
Lead Time: 6-8 business days.
Name
NFYB ELISA Kit
Description
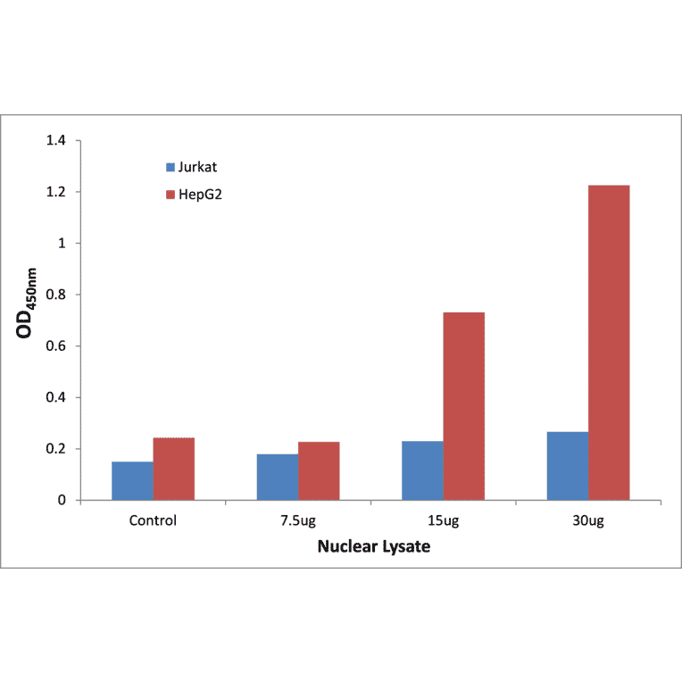
NFYB ELISA Kit is a Indirect Enzyme-Linked Immunosorbent Assay designed for the indirect in vitro quantitative determination of NFYB levels in nuclear lysates.
Assay Type
Indirect
Principle of Assay
This NFYB ELISA Kit applies the qualitative technique of an indirect ELISA. Streptavidin is bound to the immunoassay plate and specific biotinylated double stranded (dsDNA) oligonucleotides are then added to bind to the streptavidin via a high affinity biotin-streptavidin interaction. After subsequent blocking of extraneous binding sites in each well, the sample containing the target of interest can be added. Primary antibody is added to bind activated transcription factors bound to the dsDNA oligonucleotide, which has been immobilized via the plate-coated streptavidin. A HRP-conjugated secondary antibody specific for rabbit IgGs is added, which allows for specific binding to the Primary Antibody, and consequently colorimetric detection upon addition of the TMB substrate. For color development, TMB (3, 3’, 5, 5’-Tetramethylbenzidine) is added to each well. After addition of the substrate, a peroxidase catalyzed reaction will produce a blue TMB Diimine product that is proportional to the target concentration in the sample. Color development is quenched by addition of Stop Solution, or 2 N Sulfuric Acid, which turns the solution yellow. The absorbance can then be read by a spectrophotometer at 450 nm and subsequently allowing for determination of the target concentration in the sample.
Platform
Pre-coated Microplate (12 x 8 well strips)
Detection Type
Colorimetric
Sample Type
Nuclear lysates.
Reactivity
Human, Mouse, Rat
Cross Reactivity
No reported cross-reactivity.
Storage
Store at + 4°C. Stable for 3-6 months.
Synonyms
CAAT box DNA-binding protein subunit B, HAP3, NF-YB, Nuclear transcription factor Y subunit B, Nuclear transcription factor Y subunit beta
Product Note
Information online is representative. Always refer to the Product Manual inside the kit.
Disclaimer
This product is for research use only. It is not intended for diagnostic or therapeutic use.
Publishing research using NFYB ELISA Kit (A104284)? Please let us know so that we can list the citation on this page.

Alternative products to NFYB ELISA Kit (A104284)

Proteins predicted to interact with NFYB

Predicted protein interactions based upon String database. Revelancy score correlates with probability of interaction.
99.9% Relevancy Score
99.9% Relevancy Score
98.3% Relevancy Score
90.4% Relevancy Score
90.3% Relevancy Score
79.4% Relevancy Score
78.8% Relevancy Score
71.8% Relevancy Score